最近不少网友问小编关于Raptor判断一个数据是否为整数的操作,而今日小编就演示了关于Raptor判断一个数据是否为整数的操作方法吧,相信对大家会有所帮助的。
Raptor判断一个数据是否为整数的详细操作
编程
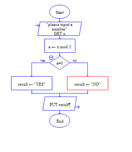
1、打开软件。记得先保存,不保存也没事后面系统也会提示保存
2、会看到已有Start 和End了 在这两个之间依次添加输入 赋值 选择 赋值 赋值 输出 符号。加完后如下所示
3、双击输入框 在输入框上方输入 "please input a number",下方输入 x
4、双击选择框 在选择框输入 a=0
5、双击赋值框1 在上方输入 a 下方输入x mod 2,双击赋值框2 在上方输入 result 下方输入 "YES",双击赋值框3 在上方输入 result 下方输入 "NO
6、双击输出框输入 result 结果如图
二、运行流程图
点击上方箭头图标,以8为例运行 最终输出结果 YES
上面就是小编为大家带来的Raptor判断一个数据是否为整数的详细操作流程,一起来学习学习吧。相信是可以帮助到一些新用户的。
体育竞技
47.8MB
310.89MB
88.6MB
游戏辅助 | 4.5GB
2024-04-24
动作格斗 | 20GB
2024-04-23
角色扮演 | 3.2GB
2024-04-22
角色扮演 | 500MB
休闲益智 | 30.17MB
2024-04-18
生活服务 | 144.35MB
学习教育 | 24.26MB
2023-11-08
系统工具 | 6.78MB
体育竞技 | 88.6MB
体育竞技 | 47.8MB
体育竞技 | 310.89MB
Raptor判断一个数据是否为整数的详细操作
最近不少网友问小编关于Raptor判断一个数据是否为整数的操作,而今日小编就演示了关于Raptor判断一个数据是否为整数的操作方法吧,相信对大家会有所帮助的。
Raptor判断一个数据是否为整数的详细操作
编程
1、打开软件。记得先保存,不保存也没事后面系统也会提示保存
2、会看到已有Start 和End了 在这两个之间依次添加输入 赋值 选择 赋值 赋值 输出 符号。加完后如下所示
3、双击输入框 在输入框上方输入 "please input a number",下方输入 x
4、双击选择框 在选择框输入 a=0
5、双击赋值框1 在上方输入 a 下方输入x mod 2,双击赋值框2 在上方输入 result 下方输入 "YES",双击赋值框3 在上方输入 result 下方输入 "NO
6、双击输出框输入 result 结果如图
二、运行流程图
点击上方箭头图标,以8为例运行 最终输出结果 YES
上面就是小编为大家带来的Raptor判断一个数据是否为整数的详细操作流程,一起来学习学习吧。相信是可以帮助到一些新用户的。
体育竞技
47.8MB
体育竞技
310.89MB
体育竞技
88.6MB
游戏辅助 | 4.5GB
2024-04-24
动作格斗 | 20GB
2024-04-23
角色扮演 | 3.2GB
2024-04-22
角色扮演 | 500MB
2024-04-22
休闲益智 | 30.17MB
2024-04-18
生活服务 | 144.35MB
2024-04-18
生活服务 | 144.35MB
2024-04-18
生活服务 | 144.35MB
2024-04-18
学习教育 | 24.26MB
2023-11-08
系统工具 | 6.78MB
2023-11-08
体育竞技 | 88.6MB
体育竞技 | 47.8MB
体育竞技 | 310.89MB